MATERI FUNGSI EKSPONEN KELAS 10 MATEMATIKA PEMINATAN
Sumber
: https://id.pngtree.com/freebackground/cute-hand-drawn-style-math-education-plaid-background_1176716.html
Apa Itu Eksponen?
Eksponen seringkali kita jumpai dalam pernyataan jarak planet yang satu ke planet yang lainnya, atau saat menyatakan berat suatu planet. Nah, materi Eksponen ini sudah pernah kita pelajari di SMP kelas 9. Eksponen atau kita bisa sebut bilangan berpangkat adalah suatu bentuk perkalian dengan bilangan yang sama dan di ulang-ulang. Kali ini, ini kita akan belajar soal Fungsi Eksponen. Sebelum itu, kita akan mengingat kembali soal sifat-sifat Eksponen.
Sifat-sifat Eksponen
Seperti yang sudah pernah dipelajari di kelas 9, ada 8 sifat Eksponen yaitu
Pangkat Penjumlahan
Note : Perkalian Eksponen dengan basis (yaitu a) yang sama, maka pangkatnya harus ditambah.
Pangkat Pengurangan
Note : Pembagian Eksponen dengan basis (yaitu a) yang sama, maka pangkatnya harus dikurang.
Pangkat Perkalian
Perkalian Bilangan yang Dipangkatkan
Note : Perkalian bilangan yang dipangkatkan, maka masing-masing bilangan tersebut dipangkatkan oleh besar pangkat (yaitu m) yang sama.
Perpangkatan pada Bilangan Pecahan
Note : Perpangkatan pada bilangan pecahan, maka masing-masing bilangan tersebut dipangkatkan oleh besar pangkat (yaitu m) yang sama.
Pangkat Negatif
Pangkat Nol
Pangkat Pecahan
Fungsi Eksponen
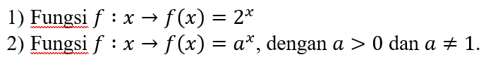
Fungsi Eksponen banyak berkaitan dalam pertumbuhan dan peluruhan, sehingga fungsi Eksponen ini salah satu fungsi yang cukup penting. Fungsi ini tidak hanya penting dalam matematika saja tetapi di mata pelajaran lain seperti biologi. Contoh fungsi Eksponen, antara lain :
Dari kedua contoh fungsi Eksponen diatas kita dapat mengambil kesimpulan bahwa fungsi Eksponen adalah fuangsi yang memetakan setiap x anggota himpunan bilangan real dengan tepat satu anggota bilangan real ka^x, dengan k suatu konstanta dan a bilangan pokok (basis) dengan a > 0 dan a ≠ 1. Dapat ditulis dengan f ∶ x → f(x) = ka^x, dengan a > 0 dan a ≠ 1.
Ada 2 sifat fungsi eksponen, yaitu :
Persamaan Eksponen
Setelah kita belajar tentang fungsi Eksponen selanjutnya kita akan belajar soal persamaan eksponen. Persamaan eksponen adalah suatu persamaan yang besar pangkatnya (eksponen) memuat variabel (peubah) baik itu x, y, dan lain-lain. Contohnya,
Ada beberapa bentuk persamaan eksponen, diantaranya :
Pertidaksamaan Eksponen
Selanjutnya kita akan belajar tentang pertidaksamaan eksponen. Sebelum itu, yuk kita ingat lagi tentang sifat-sifat fungsi eksponen. Nantinya, akan kita dapatkan ketentuan untuk menjawab pertidaksamaan eksponen :


Komentar
Posting Komentar